홍수 막는 공원이 부동산 가치까지? – 도시 스펀지공원의 경제 효과 보고서
중국의 도시 스펀지공원이 주택 가격에 미치는 영향을 텍스트마이닝과 헤도닉 가격모형(HPM)으로 분석한 최신 연구. 6개 도시사례를 통해 기후 적응형 공원이 가진 경제적 잠재력을 살펴보고, 정책적 시사점을 제시한다.
물을 머금은 공원, 부동산 가치를 올리다 – 스펀지시티 공원의 경제적 효과 분석
1. 왜 도시 스펀지공원이 중요한가?
기후변화와 극한강우로 도시 침수 위험이 증가하면서, 빗물을 머금고 정화하는 스펀지형 도시공원(USP: Urban Sponge Parks)의 중요성이 커지고 있다. 이들은 단순한 조경이나 휴게 기능을 넘어, 생태 회복, 수질 정화, 홍수 저감 등 다기능 녹지 인프라로 주목받고 있다. 하지만 그 경제적 가치, 특히 부동산 가격에 미치는 영향은 상대적으로 적게 조명되어 왔다.
이번에 『Land』(2025년 5월) 저널에 게재된 "The Economic Performance of Urban Sponge Parks Uncovered by an Integrated Evaluation Approach"(Peng & Wen)는 스펀지공원이 주변 주택 가격에 어떤 영향을 주는지를 정량적으로 분석한 연구다.
2. 연구의 핵심 접근 : 시민 선호를 말과 행동으로 분석하다
이 연구는 도시공원의 경제적 효과를 평가하기 위해, 시민의 표현된 선호(stated preferences)와 드러난 선호(revealed preferences)를 동시에 분석하였다.
- 텍스트 마이닝 분석 : 부동산 소개글에서 자주 언급되는 키워드(공원, 생태, 교육, 교통 등)를 추출해 시민들이 중시하는 요소를 확인
- 헤도닉 가격모형(HPM) : 구조적 요소(건축연도, 조경 비율), 입지 요소(도심 거리, 물 접근성), 주변 인프라(교육, 교통 등)와의 관계를 통해 주택 가격에 영향을 미치는 요인을 분석
또한, 공간 비정상성 문제를 해결하기 위해 지리 가중 회귀(GWR) 기법을 도입해 지역별 차이를 정밀하게 살펴보았다.
3. 사례 분석 : 6개 스펀지공원은 무엇이 달랐나?
| 공원명 | 위치 | 유형 | 주요 특징 및 설계 목적 |
| Qunli Park | 하얼빈 | 신시가지+수변 | 홍수저감, 수서생태 복원 |
| Qiaoyuan Park | 톈진 | 구시가지+내륙 | 산성토 개선, 갈대 정화습지 |
| Houtan Park | 상하이 | 수변+구시가지 | 오염하천 정화, 엑스포 회의공간 |
| Yanweizhou | 진화 | 수변+신시가지 | 범람적응형 제방 및 초지 |
| Luming Park | 취저우 | 신시가지+수변 | 저관리, 생태연못 설계 |
| Qijiang Park | 중산 | 구시가지+수변 | 역사공업지 복원, 잡초 미학 |
이들 공원은 설계 연도, 규모, 배경이 다양하나, 모두 빗물저장 및 생태회복 기능을 갖춘 스펀지 도시공원의 대표 사례로 선정되었다.

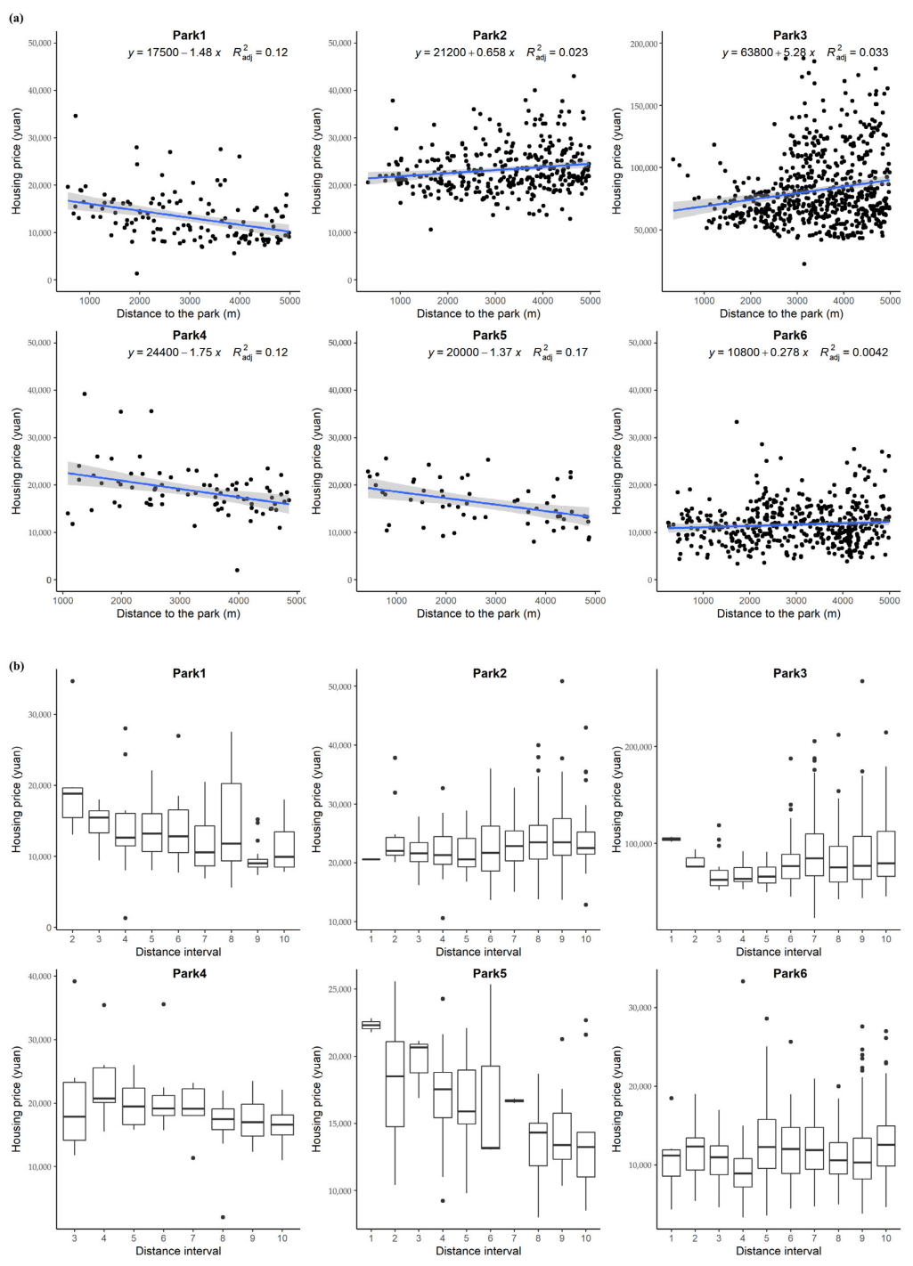
4. 분석 결과 요약 : 어떤 공원이 집값을 올렸나?
▶ 정성 분석 : 텍스트마이닝 결과
- 부동산 소개문에서 '공원', '경관', '생태'는 자주 언급되지만, 교육·교통·시장 등 필수시설보다는 덜 중요한 요인으로 인식됨
▶ 정량 분석 : HPM & GWR 결과 요약
- 가장 강한 요인 : 건물 연식, 도심과의 거리, 단지 내 조경 비율
- 스펀지공원과의 거리는 5곳에서 통계적으로 유의미한 영향을 보였으며, 평균 영향 반경은 3km, 영향 강도는 중심부에서 최대 70% 가격 상승 효과
- 공원의 입지 배경에 따라 영향은 달라졌으며, 신도시 개발형 공원의 영향력이 가장 뚜렷했음

5. 경제적 기여의 공간적 차이 : GWR로 본 지역 이질성
GWR 분석에 따르면, 같은 공원이라도 동서남북 방향과 거리에 따라 주택 가격에 미치는 영향이 달랐다. 일부 구간은 음의 효과까지 나타나기도 했다. 예를 들어 Qijiang Park의 경우 주변이 과밀 개발된 지역이라 효과가 미약했고, 반면 Luming Park는 개발 초기 지역으로 인접 주택의 가치가 최대 74.7%까지 상승하였다.
이러한 결과는 스펀지공원이 단순히 조성됐다는 사실보다, 도시개발 맥락과의 관계가 경제적 파급력을 좌우함을 시사한다.


6. 정책적 시사점 : 녹지는 투자다
- 스펀지공원은 단기 이용뿐 아니라, 주변 자산가치 상승을 통해 도시의 경제적 복원력을 강화한다.
- 주택가격 향상은 정책적 설득력의 근거가 되며, 예산 확보 및 민간 참여 유인으로도 작용할 수 있다.
- 그러나, 젠트리피케이션이나 취약계층 이탈 등의 부작용도 함께 고려해야 한다.
정책은 ‘평균값’이 아니라 ‘지역별 맥락’을 고려해 설계되어야 한다.
7. 마무리하며 – 자연기반해법의 경제학
이 연구는 스펀지공원이 도시 생태복원뿐 아니라, 주택시장이라는 현실의 경제 시스템에 직접적인 가치를 더할 수 있음을 입증하였다. 텍스트 마이닝과 헤도닉 회귀의 결합, 공간분석을 활용한 통합 프레임워크는 향후 전국 단위의 녹지 투자 평가모델로 확장될 수 있다.
자연기반해법(NbS)은 이제 환경을 넘어 경제와 부동산의 언어로도 말할 수 있는 시대가 되었다.
참고 논문 : Peng, X., & Wen, S. (2025). The Economic Performance of Urban Sponge Parks Uncovered by an Integrated Evaluation Approach. Land, 14(5), 1099. https://doi.org/10.3390/land14051099
홍수를 대비하는 조경 설계 : 침투형 포장과 빗물 관리의 모든 것
홍수를 대비하는 조경 설계 : 침투형 포장과 빗물 관리의 모든 것 기후 위기로 인한 집중호우와 국지성 폭우가 빈번해지면서, 도시와 건축 설계에서 홍수 대응력은 더 이상 선택이 아닌 필수가
sanisanee.co.kr
리질리언스 이론 : 도시와 환경을 위한 회복탄력성의 개념과 실천
리질리언스 이론 : 도시와 환경을 위한 회복탄력성의 개념과 실천 리질리언스 이론의 정의와 목적 리질리언스(Resilience) 이론은 1973년 생태학자 C.S. 홀링(Crawford Stanley Holling)에 의해 처음 정립
sanisanee.co.kr